Low Pass Filter (LPF)
Low Pass Filter
Pada dasarnya, sebuah filter listrik adalah sirkuit yang dapat dirancang untuk memodifikasi, membentuk kembali atau menolak semua frekuensi yang tidak diinginkan dari sinyal listrik dan menerima atau lulus hanya mereka sinyal dicari oleh desainer sirkuit. Dengan kata lain mereka "filter-out" sinyal yang tidak diinginkan dan filter yang ideal akan memisahkan dan melewatkan sinyal masukan sinusoidal berdasarkan frekuensi mereka.
Rangkaian Low Pass Filter (LPF) adalah rangkaian yang dapat melewatkan frekuensi dibawah frekuensi cut-off (wc). Rangkaian Low Pass Filter ada 3 macam yang masing-masing rangkaian berbeda dalam hal kemiringan responnya seperti gambar 218.Adapun rangkaian LPF -40dB/dec adalah seperti pada gambar 221.
Gambar 221 Rangkaian LPF -40dB/dec
Dari rangkaian terlihat bahwa sinyal input diparalelkan dengan kapasitor C sehingga sinyal input yang berfrekuensi dibawah frekuensi cut-off akan dilewatkan dan sebaliknya diatas frekuensi cut-off akan digroundkan.
Dibawah ini akan ditunjukan respon ideal filter filter ACL vs w pada rangkaian Rangkaian LPF -40dB/dec.
Hal-hal yang harus diketahui untuk mendapatkan nilai ACL adalah :
Langkah pertama, misalkan kita memakai op-amp ideal maka Ed = 0 sehingga Vo = Vb
Lalu gunakan hukum khirchoff arus untuk mencari tegangan di titik A, dimana I3 = I4

Maka :

Sehingga, bagian real dari ACL bernilai 0. Jadi

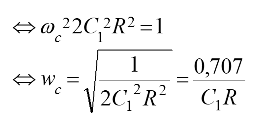
misalkan R1=R2=R dan C2 = 2C1
Jadi, untuk membuat grafik ACL vs w, lakukan substitusi rumus wc pada rumus ACL menjadi seperti berikut :
Adapun langkah-langkah perancangan LPF -40dB/dec adalah seperti berikut :
1. Pilih ᾡ atau fc
2. Pilih R1=R2=R (10kΩ s/d 100kΩ)
2. Pilih R1=R2=R (10kΩ s/d 100kΩ)
3. Hitung C1= 0.707/ᾡR
4. Hitung C2 = 2C1
5. Pilih Rf = 2R , untuk memperkecil efek bias current.
5. Pilih Rf = 2R , untuk memperkecil efek bias current.











Tidak ada komentar:
Posting Komentar